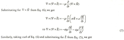
wave equation
Let
us consider a uniform linear medium with permittivity ε, permeability μ, and conductivity s. Then, we have
Welcome to our Physics Blog, where curiosity meets the cosmos! This blog is a great source of ready Physics Notes. Our blog is your virtual classroom. Welcome to a space where science comes alive – welcome to our Physics Blog!
MODULE 3: MAGNETOSTATICS BIO-SAVART LAW, DIVERGENCE AND CURL OF STATIC MAGNETIC FIELD; VECTOR POTENTIAL AND CALCULATING IT FOR A GIVEN...
No comments:
Post a Comment